レポート課題

締め切り 2017年1月15日PM11:59(電子メール受け取り時間)


講義の内容により変更の可能性がある。 最終的な内容は必ず講義の場で確認すること。

提出は任意である。

提出した場合は、1つにつき期末試験の1問の解答と カウントする。

以下の問題の中から、 最大2つまでを選んで提出せよ。

締め切りは、1月15日となっている。この日を遅れて提出しても 採点されないので注意すること。


  1. (課題番号01) ランダムな現象であるポアソン分布 について、人間は「偏りの錯誤」を冒しやすいといわれている。 たとえば、講義では、 などの例を説明した。

    これについて、代表性ヒューリスティック少数の法則 というキーワードをもとにして説明して考察せよ。

    さらに、ポアソン分布の偏りの錯誤の実例と思われる事象を探し出してみよ。

    詳細については この文献とその参考文献などに詳しい。

    できるだけ説得力のあるユニークで面白い考察を提出するとポイントが高い。 内容が薄いものは採点しない

    以下のデータや証左をもとにして、比較・検証を詳細に行うこと。

    などによる比較の議論をするとよい。

    Hint: 星座、ヒカリムシのパターンとランダムパターンの比較などをしてみよう。 詳細はこの論文(Stephen Jay Gould:Glow, Big GlowwormのPostscript)に詳しい(日本語版はこの本:がんばれカミナリ竜(下)のなかの17章:「光れ、大きなヒカリムシ」の追記にある)。

  2. (課題番号02) The Unofficial Guideというディズニーランドのツアープランの ホームページ がある(レン・テスタによる)。

    このページは多くファンがいる。たとえば、 エドワード・ウォーラーとイペット・ベンデックは、13時間足らずでマジックキングダムの全アトラクションを制覇した偉業を達成した。

    このHPでは、 待ち行列理論と巡回セールス問題を統合した 手法が使われている。

    このHPの技法や実績について説明せよ。

    またディズニーランドの以下の戦略はどのくらい有効かについても考察せよ。

    実体験や実測値データなどをもとに解説するとポイントが高い。

    Hint: Bob Sehlinger氏の Unofficial Guide to Disneyland Paris などのガイドブックの TOURING PLAN--OF UTMOST IMPORTANCEの記述が参考になる。

  3. (課題番号03)  Kruskal countのマジック では、全てのカード(52枚、ジョーカーを除く)をもちいて 1から10の間で1つのnを決めると、 約85%の確率で「最終カード」が一致するという。

    このことを以下のように設定を変えて実験してみる。

    1. J,Q,Kにそれぞれ11, 12, 13の値を割り当てるとき
    2. J,Q,Kにそれぞれ10の値を割り当てるとき
    3. J,Q,Kにそれぞれ5の値を割り当てるとき

    一致する確率の計算には、ランダムにnの値を2つ選び、「最終カード」が同じになる 確率を求める。

    最終カードが一致する確率の理論値はマルコフ過程を用いて 導出することができる。 マルコフ過程を用いたKruskalカウントの解説や理論的考察は 参考書 の3.2節に詳細が記述されている。

    【Kruskalカウントの理論値と実測値】

    条件1:JQK=11,12,13 条件2:JQK=10 条件3:JQK=5
    実測値 68.2 71.2 84.2
    理論値( 文献1 65.8 70.8 83.9
    理論値( 文献2 65.9 71.2 70.8

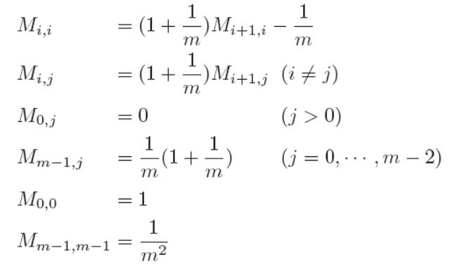
    文献2 では、すべてのカードは1 からm の値を等しい確率で取ることを仮定したときの 確率推移行列Mが以下のように与えられることから理論値を求めている。

    条件2, 3 では,「すべてのカードは1 からm の 値を等しい確率で取る」という制約が破られているため理論値は実測値と一致しない。したがって,より正確な評価には推移確率行列を修正する必要がある。

    レポートでは、 より正確に理論値を求める方法(マルコフ過程を用いた方法) を導出し、 条件2, 3の理論値と実測値の比較を行え。

    なおKruskalカウントを行うシミュレーションプログラムが ここ にあるので必要なら利用してもよい(Fisher-Yates シャッフルを利用していることに注意)。

  4. (課題番号04) 伝統的な効用理論(ベルヌーイ)の間違いとして以下の例がある。

    多くの人は、賭け1には手を出さない。 ところが、古典的効用理論に従うと、賭け1を断る人は、賭け2も断ることが証明される。

    しかし、当然そんなはずはない。正気の人間なら、賭け2を断ることはないだろう。

    このような不合理な結論を伝統的な効用理論が導くことをわかりやすく説明せよ。 レポート作成には この論文などが参考になる。


以下のものを提出すること。

良いレポートを書くためのヒント:


レポートの提出方法

English version is also accepted.

レポートは電子的な媒体でのみ受け付ける。原則として 紙レポートは受け付けない。

提出するものは次のものである。

注意:以上の約束事を守らないレポートは正常に受け取られない。

提出したファイルに不備があった場合(ファイルが開けない、実行できな い、コンパイルできないなど)、レポートを提出したアドレスにこちらから replyするので注意すること。temporaryなアドレスでレポートを提出しないこ とが望ましい。

万一受け取られていない場合は再提出するか、 report-admin@iba.t.u-tokyo.ac.jp まで連絡せよ。 確認しないで不利益を被ったとしてもこちらでは対処できないので注意するこ と。

提出に関しての質問(提出したのに掲示板に出ていないなど)は report-admin@iba.t.u-tokyo.ac.jp にメールすること( 提出先や教官のメールアドレスではない)。

提出用フォームは ここにある。 提出されたレポートのリストは ここにある。


伊庭研のホームページに戻る